RXS0603+42-S IR detection object #109

Color images and BPZ results
Catalog: 109.cat
Black segments are analyzed here.   Roll mouse over color images to view segments.
Best viewed in a wide browser window (1200 pixels or more).   Download SED & P(z) plots to view larger versions.
In P(z) plots: Yellow lines mark the cluster redshift z = 0.228,  

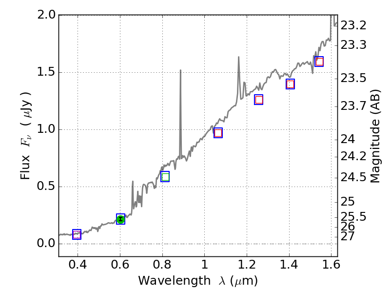
Object #109   x,y = (2226, 4299)   RA, Dec = (06:03:27.888, 42:11:44.16) = (90.86620, 42.19560)   BPZ = 0.767 [0.196--4.800]   type = 6.50 (Scd_B10 - Sbc_B10)   stellarity = 0.66   chisq2 = 990.00   ODDS = 0.08   z_cluster = 0.228