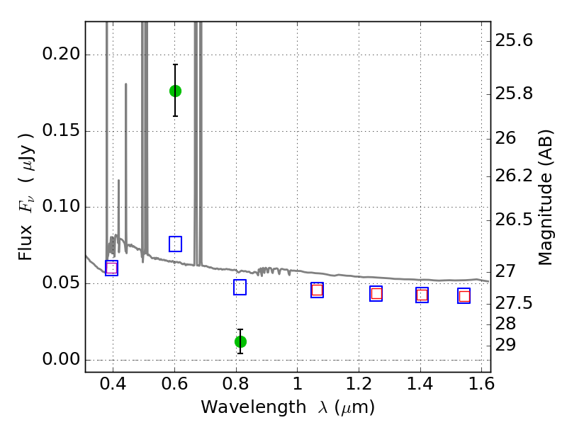
RXS0603+42-S IR detection object #1083

Color images and BPZ results
Catalog: 1083.cat
Black segments are analyzed here.   Roll mouse over color images to view segments.
Best viewed in a wide browser window (1200 pixels or more).   Download SED & P(z) plots to view larger versions.
In P(z) plots: Yellow lines mark the cluster redshift z = 0.228,  

Object #1083   x,y = (3445, 3876)   RA, Dec = (06:03:21.312, 42:11:18.96) = (90.83880, 42.18860)   BPZ = 0.024 [0.012--2.934]   type = 11.00 (SB11_A_0_l)   stellarity = 0.74   chisq2 = 46.26   ODDS = 0.37   z_cluster = 0.228