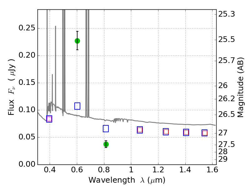
RXS0603+42-S IR detection object #1073

Color images and BPZ results
Catalog: 1073.cat
Black segments are analyzed here.   Roll mouse over color images to view segments.
Best viewed in a wide browser window (1200 pixels or more).   Download SED & P(z) plots to view larger versions.
In P(z) plots: Yellow lines mark the cluster redshift z = 0.228,  

Object #1073   x,y = (3654, 3880)   RA, Dec = (06:03:20.184, 42:11:18.96) = (90.83410, 42.18860)   BPZ = 0.021 [0.010--0.049]   type = 11.00 (SB11_A_0_l)   stellarity = 0.88   chisq2 = 51.07   ODDS = 0.99   z_cluster = 0.228