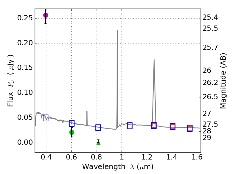
RXS0603+42-S IR detection object #1041

Color images and BPZ results
Catalog: 1041.cat
Black segments are analyzed here.   Roll mouse over color images to view segments.
Best viewed in a wide browser window (1200 pixels or more).   Download SED & P(z) plots to view larger versions.
In P(z) plots: Yellow lines mark the cluster redshift z = 0.228,  

Object #1041   x,y = (2656, 3899)   RA, Dec = (06:03:25.584, 42:11:20.40) = (90.85660, 42.18900)   BPZ = 1.594 [1.321--2.014]   type = 11.00 (SB11_A_0_l)   stellarity = 0.80   chisq2 = 158.00   ODDS = 0.45   z_cluster = 0.228