RXS0603+42-S IR detection object #1031

Color images and BPZ results
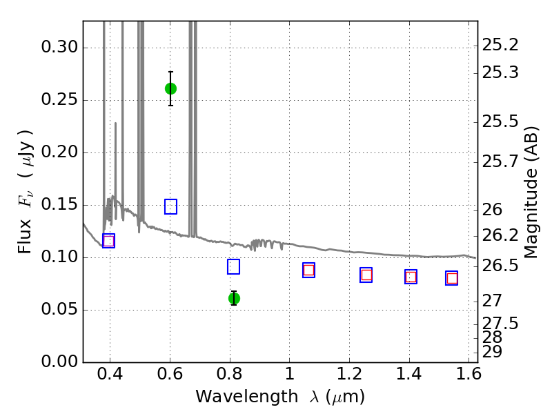
Catalog: 1031.cat
Black segments are analyzed here.   Roll mouse over color images to view segments.
Best viewed in a wide browser window (1200 pixels or more).   Download SED & P(z) plots to view larger versions.
In P(z) plots: Yellow lines mark the cluster redshift z = 0.228,  

Object #1031   x,y = (3671, 3893)   RA, Dec = (06:03:20.088, 42:11:20.04) = (90.83370, 42.18890)   BPZ = 0.019 [0.010--0.042]   type = 11.00 (SB11_A_0_l)   stellarity = 0.95   chisq2 = 41.69   ODDS = 1.00   z_cluster = 0.228