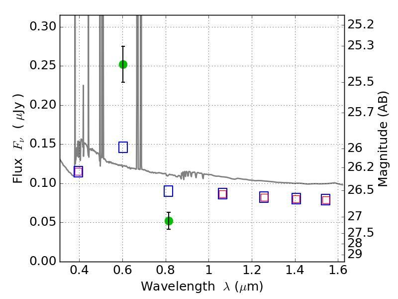
RXS0603+42-S IR detection object #1022

Color images and BPZ results
Catalog: 1022.cat
Black segments are analyzed here.   Roll mouse over color images to view segments.
Best viewed in a wide browser window (1200 pixels or more).   Download SED & P(z) plots to view larger versions.
In P(z) plots: Yellow lines mark the cluster redshift z = 0.228,  

Object #1022   x,y = (3699, 3863)   RA, Dec = (06:03:19.944, 42:11:18.24) = (90.83310, 42.18840)   BPZ = 0.023 [0.010--2.655]   type = 11.00 (SB11_A_0_l)   stellarity = 0.08   chisq2 = 24.99   ODDS = 0.76   z_cluster = 0.228