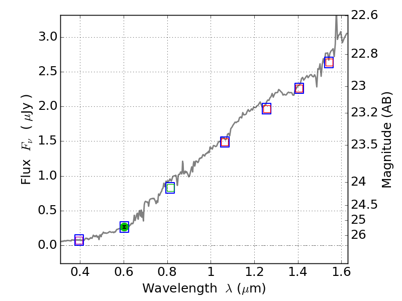
RXS0603+42-S IR detection object #101

Color images and BPZ results
Catalog: 101.cat
Black segments are analyzed here.   Roll mouse over color images to view segments.
Best viewed in a wide browser window (1200 pixels or more).   Download SED & P(z) plots to view larger versions.
In P(z) plots: Yellow lines mark the cluster redshift z = 0.228,  

Object #101   x,y = (2234, 4300)   RA, Dec = (06:03:27.840, 42:11:44.16) = (90.86600, 42.19560)   BPZ = 0.745 [0.188--4.545]   type = 6.00 (Sbc_B10)   stellarity = 0.84   chisq2 = 990.00   ODDS = 0.09   z_cluster = 0.228