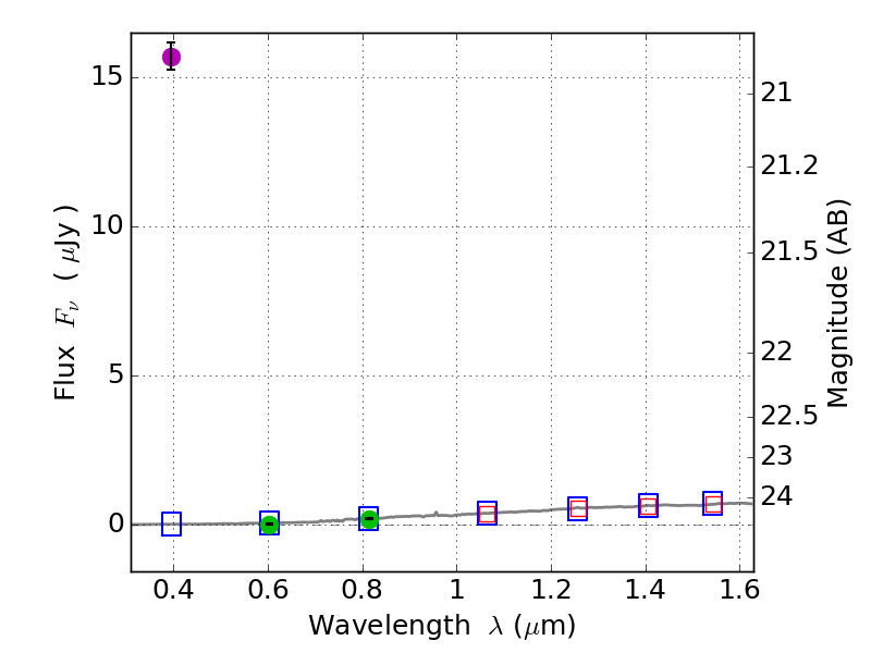
RXS0603+42-S ACS+IR detection object #858

Color images and BPZ results
Catalog: 858.cat
Black segments are analyzed here.   Roll mouse over color images to view segments.
Best viewed in a wide browser window (1200 pixels or more).   Download SED & P(z) plots to view larger versions.
In P(z) plots: Yellow lines mark the cluster redshift z = 0.228,  

Object #858   x,y = (2704, 4048)   RA, Dec = (06:03:25.320, 42:11:29.04) = (90.85550, 42.19140)   BPZ = 0.914 [0.613--5.829]   type = 6.10 (Sbc_B10 - Scd_B10)   stellarity = 1.00   chisq2 = 1134.00   ODDS = 0.29   z_cluster = 0.228