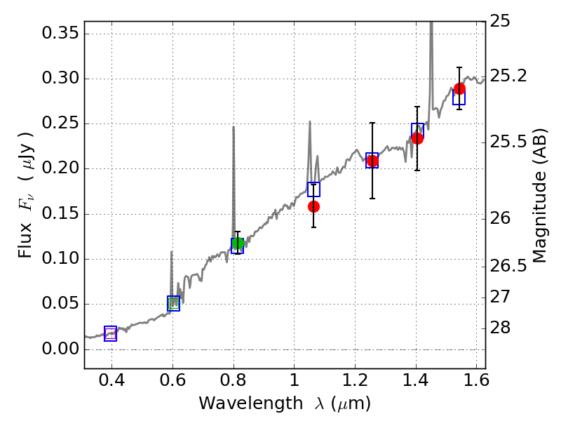
RXS0603+42-S ACS+IR detection object #8223

Color images and BPZ results
Catalog: 8223.cat
Black segments are analyzed here.   Roll mouse over color images to view segments.
Best viewed in a wide browser window (1200 pixels or more).   Download SED & P(z) plots to view larger versions.
In P(z) plots: Yellow lines mark the cluster redshift z = 0.228,  

Object #8223   x,y = (2093, 1291)   RA, Dec = (06:03:28.608, 42:08:43.80) = (90.86920, 42.14550)   BPZ = 0.599 [0.265--3.389]   type = 6.70 (Scd_B10 - Sbc_B10)   stellarity = 0.00   chisq2 = 0.28   ODDS = 0.10   z_cluster = 0.228