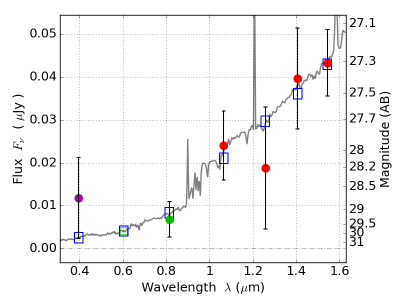
RXS0603+42-S ACS+IR detection object #7995

Color images and BPZ results
Catalog: 7995.cat
Black segments are analyzed here.   Roll mouse over color images to view segments.
Best viewed in a wide browser window (1200 pixels or more).   Download SED & P(z) plots to view larger versions.
In P(z) plots: Yellow lines mark the cluster redshift z = 0.228,  

Object #7995   x,y = (2186, 1385)   RA, Dec = (06:03:28.104, 42:08:49.56) = (90.86710, 42.14710)   BPZ = 1.413 [0.697--6.546]   type = 6.60 (Scd_B10 - Sbc_B10)   stellarity = 0.35   chisq2 = 0.59   ODDS = 0.15   z_cluster = 0.228