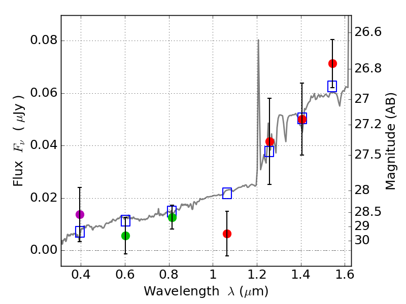
RXS0603+42-S ACS+IR detection object #7657

Color images and BPZ results
Catalog: 7657.cat
Black segments are analyzed here.   Roll mouse over color images to view segments.
Best viewed in a wide browser window (1200 pixels or more).   Download SED & P(z) plots to view larger versions.
In P(z) plots: Yellow lines mark the cluster redshift z = 0.228,  

Object #7657   x,y = (3477, 1508)   RA, Dec = (06:03:21.144, 42:08:56.76) = (90.83810, 42.14910)   BPZ = 2.242 [1.072--2.872]   type = 7.50 (SB1_B10 - Scd_B10)   stellarity = 0.41   chisq2 = 1.09   ODDS = 0.26   z_cluster = 0.228