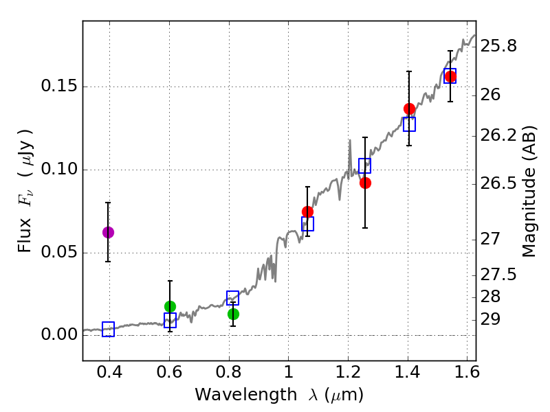
RXS0603+42-S ACS+IR detection object #7497

Color images and BPZ results
Catalog: 7497.cat
Black segments are analyzed here.   Roll mouse over color images to view segments.
Best viewed in a wide browser window (1200 pixels or more).   Download SED & P(z) plots to view larger versions.
In P(z) plots: Yellow lines mark the cluster redshift z = 0.228,  

Object #7497   x,y = (1986, 1557)   RA, Dec = (06:03:29.184, 42:08:59.64) = (90.87160, 42.14990)   BPZ = 1.410 [1.111--6.442]   type = 6.00 (Sbc_B10)   stellarity = 0.41   chisq2 = 2.29   ODDS = 0.30   z_cluster = 0.228