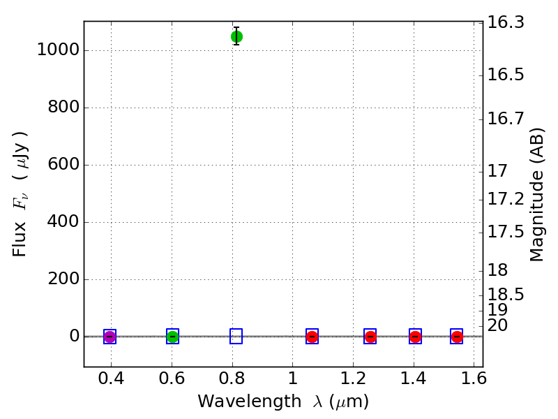
RXS0603+42-S ACS+IR detection object #5797

Color images and BPZ results
Catalog: 5797.cat
Black segments are analyzed here.   Roll mouse over color images to view segments.
Best viewed in a wide browser window (1200 pixels or more).   Download SED & P(z) plots to view larger versions.
In P(z) plots: Yellow lines mark the cluster redshift z = 0.228,  

Object #5797   x,y = (2000, 2021)   RA, Dec = (06:03:29.112, 42:09:27.72) = (90.87130, 42.15770)   BPZ = 0.084 [0.020--0.489]   type = 8.50 (SB2_B10 - SB1_B10)   stellarity = 1.00   chisq2 = 288.40   ODDS = 0.40   z_cluster = 0.228