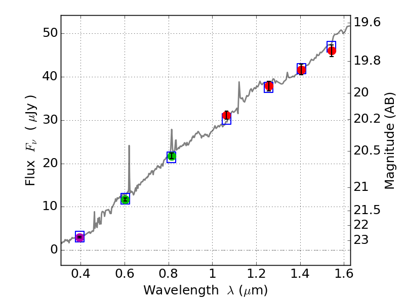
RXS0603+42-S ACS+IR detection object #5303

Color images and BPZ results
Catalog: 5303.cat
Black segments are analyzed here.   Roll mouse over color images to view segments.
Best viewed in a wide browser window (1200 pixels or more).   Download SED & P(z) plots to view larger versions.
In P(z) plots: Yellow lines mark the cluster redshift z = 0.228,  

Object #5303   x,y = (2883, 2468)   RA, Dec = (06:03:24.360, 42:09:54.36) = (90.85150, 42.16510)   BPZ = 0.241 [0.103--0.374]   type = 6.40 (Sbc_B10 - Scd_B10)   stellarity = 0.03   chisq2 = 0.04   ODDS = 0.45   z_cluster = 0.228