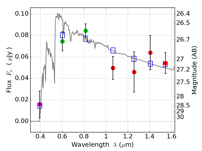
RXS0603+42-S ACS+IR detection object #4307

Color images and BPZ results
Catalog: 4307.cat
Black segments are analyzed here.   Roll mouse over color images to view segments.
Best viewed in a wide browser window (1200 pixels or more).   Download SED & P(z) plots to view larger versions.
In P(z) plots: Yellow lines mark the cluster redshift z = 0.228,  

Object #4307   x,y = (2492, 2813)   RA, Dec = (06:03:26.472, 42:10:15.24) = (90.86030, 42.17090)   BPZ = 3.377 [0.301--3.961]   type = 10.70 (SB11_A_0_l - SB3_B10)   stellarity = 0.42   chisq2 = 0.93   ODDS = 0.53   z_cluster = 0.228