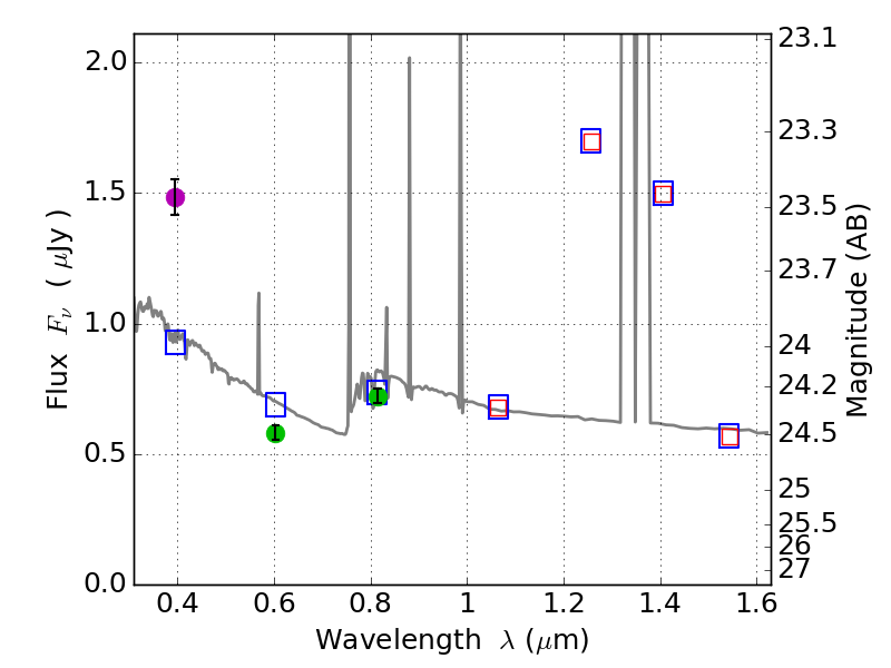
RXS0603+42-S ACS+IR detection object #4208

Color images and BPZ results
Catalog: 4208.cat
Black segments are analyzed here.   Roll mouse over color images to view segments.
Best viewed in a wide browser window (1200 pixels or more).   Download SED & P(z) plots to view larger versions.
In P(z) plots: Yellow lines mark the cluster redshift z = 0.228,  

Object #4208   x,y = (4085, 2842)   RA, Dec = (06:03:17.856, 42:10:16.68) = (90.82440, 42.17130)   BPZ = 1.032 [0.941--1.148]   type = 11.00 (SB11_A_0_l)   stellarity = 0.88   chisq2 = 18.48   ODDS = 0.88   z_cluster = 0.228