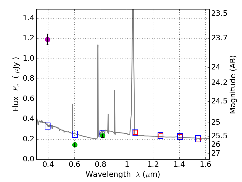
RXS0603+42-S ACS+IR detection object #4201

Color images and BPZ results
Catalog: 4201.cat
Black segments are analyzed here.   Roll mouse over color images to view segments.
Best viewed in a wide browser window (1200 pixels or more).   Download SED & P(z) plots to view larger versions.
In P(z) plots: Yellow lines mark the cluster redshift z = 0.228,  

Object #4201   x,y = (4081, 2833)   RA, Dec = (06:03:17.880, 42:10:16.32) = (90.82450, 42.17120)   BPZ = 1.093 [0.964--1.663]   type = 11.00 (SB11_A_0_l)   stellarity = 0.76   chisq2 = 228.50   ODDS = 0.53   z_cluster = 0.228