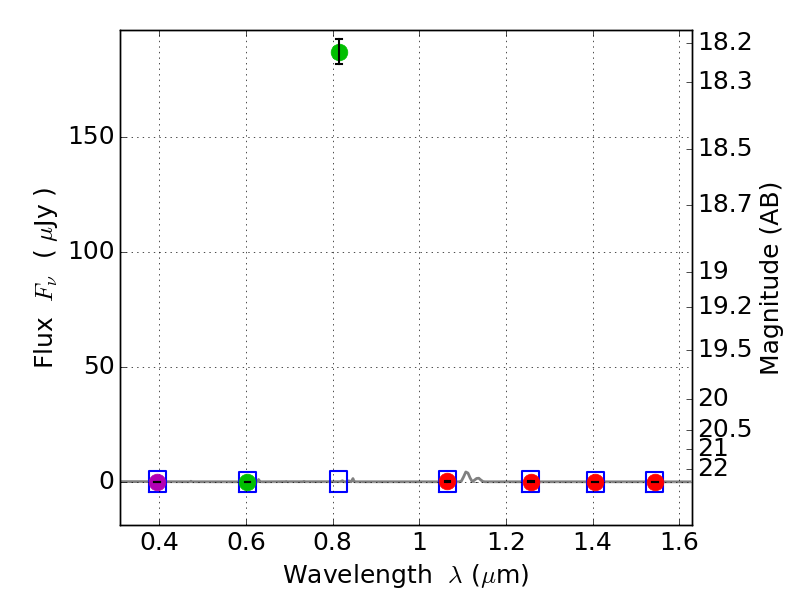
RXS0603+42-S ACS+IR detection object #3539

Color images and BPZ results
Catalog: 3539.cat
Black segments are analyzed here.   Roll mouse over color images to view segments.
Best viewed in a wide browser window (1200 pixels or more).   Download SED & P(z) plots to view larger versions.
In P(z) plots: Yellow lines mark the cluster redshift z = 0.228,  

Object #3539   x,y = (2891, 3245)   RA, Dec = (06:03:24.312, 42:10:41.16) = (90.85130, 42.17810)   BPZ = 0.689 [0.158--0.776]   type = 10.70 (SB11_A_0_l - SB3_B10)   stellarity = 0.98   chisq2 = 287.10   ODDS = 0.43   z_cluster = 0.228