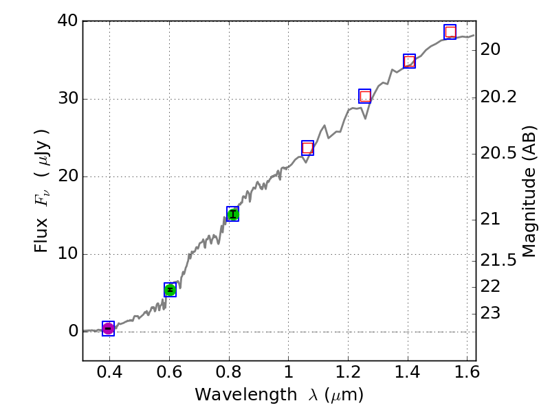
RXS0603+42-S ACS+IR detection object #3260

Color images and BPZ results
Catalog: 3260.cat
Black segments are analyzed here.   Roll mouse over color images to view segments.
Best viewed in a wide browser window (1200 pixels or more).   Download SED & P(z) plots to view larger versions.
In P(z) plots: Yellow lines mark the cluster redshift z = 0.228,  

Object #3260   x,y = (1563, 3250)   RA, Dec = (06:03:31.464, 42:10:41.52) = (90.88110, 42.17820)   BPZ = 0.483 [0.398--0.524]   type = 3.10 (Ell5_A_0 - Ell4_A_0)   stellarity = 0.97   chisq2 = 0.00   ODDS = 0.88   z_cluster = 0.228