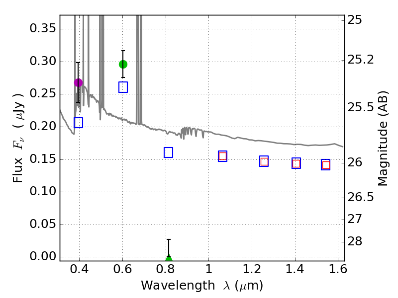
RXS0603+42-S ACS+IR detection object #2728

Color images and BPZ results
Catalog: 2728.cat
Black segments are analyzed here.   Roll mouse over color images to view segments.
Best viewed in a wide browser window (1200 pixels or more).   Download SED & P(z) plots to view larger versions.
In P(z) plots: Yellow lines mark the cluster redshift z = 0.228,  

Object #2728   x,y = (4033, 3470)   RA, Dec = (06:03:18.144, 42:10:54.48) = (90.82560, 42.18180)   BPZ = 0.022 [0.010--2.124]   type = 11.00 (SB11_A_0_l)   stellarity = 0.16   chisq2 = 29.85   ODDS = 0.66   z_cluster = 0.228