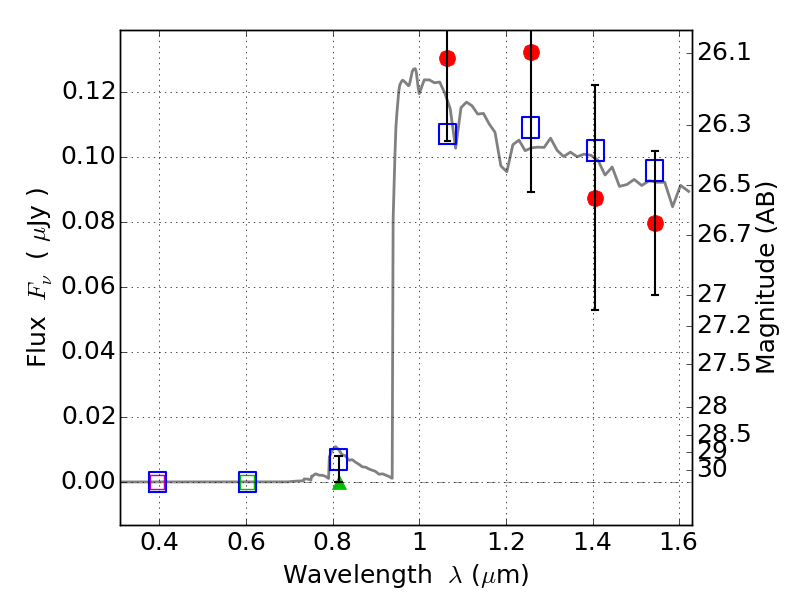
RXS0603+42-S IR detection object #990

Color images and BPZ results
Catalog: 990.cat
Black segments are analyzed here.   Roll mouse over color images to view segments.
Best viewed in a wide browser window (1200 pixels or more).   Download SED & P(z) plots to view larger versions.
In P(z) plots: Yellow lines mark the cluster redshift z = 0.228,  

Object #990   x,y = (1692, 1257)   RA, Dec = (06:03:30.768, 42:08:41.64) = (90.87820, 42.14490)   BPZ = 6.717 [6.059--7.387]   type = 11.00 (SB11_A_0_l)   stellarity = 0.00   chisq2 = 1.05   ODDS = 0.73   z_cluster = 0.228