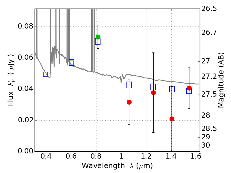
RXS0603+42-S IR detection object #959

Color images and BPZ results
Catalog: 959.cat
Black segments are analyzed here.   Roll mouse over color images to view segments.
Best viewed in a wide browser window (1200 pixels or more).   Download SED & P(z) plots to view larger versions.
In P(z) plots: Yellow lines mark the cluster redshift z = 0.228,  

Object #959   x,y = (1688, 1354)   RA, Dec = (06:03:30.792, 42:08:47.40) = (90.87830, 42.14650)   BPZ = 0.173 [0.084--4.601]   type = 11.00 (SB11_A_0_l)   stellarity = 0.00   chisq2 = 0.75   ODDS = 0.26   z_cluster = 0.228