RXS0603+42-S IR detection object #950

Color images and BPZ results
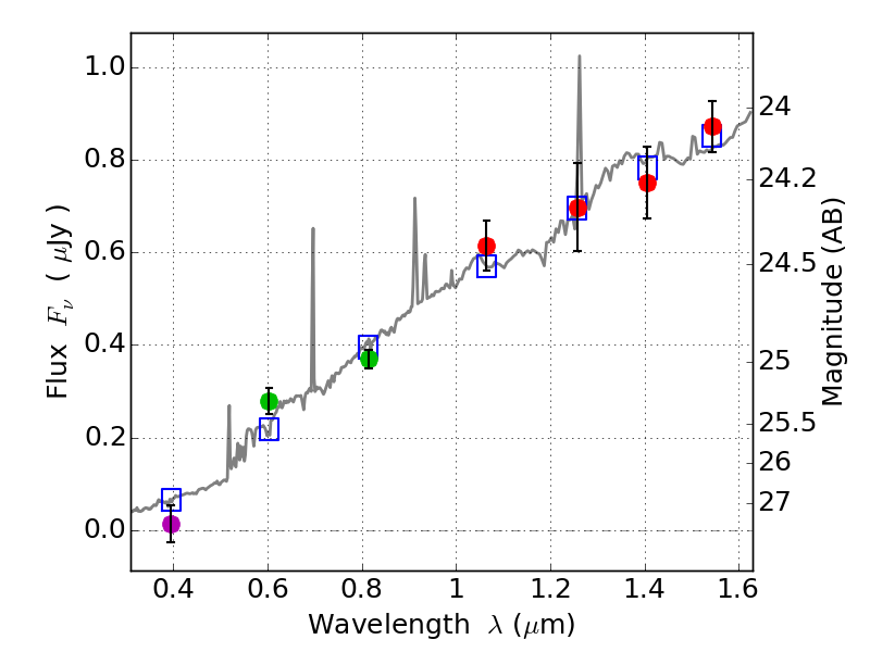
Catalog: 950.cat
Black segments are analyzed here.   Roll mouse over color images to view segments.
Best viewed in a wide browser window (1200 pixels or more).   Download SED & P(z) plots to view larger versions.
In P(z) plots: Yellow lines mark the cluster redshift z = 0.228,  

Object #950   x,y = (3007, 1298)   RA, Dec = (06:03:23.688, 42:08:44.16) = (90.84870, 42.14560)   BPZ = 0.389 [0.096--3.328]   type = 6.70 (Scd_B10 - Sbc_B10)   stellarity = 0.00   chisq2 = 0.54   ODDS = 0.24   z_cluster = 0.228