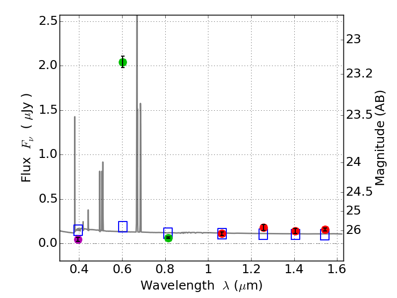
RXS0603+42-S IR detection object #906

Color images and BPZ results
Catalog: 906.cat
Black segments are analyzed here.   Roll mouse over color images to view segments.
Best viewed in a wide browser window (1200 pixels or more).   Download SED & P(z) plots to view larger versions.
In P(z) plots: Yellow lines mark the cluster redshift z = 0.228,  

Object #906   x,y = (2041, 1469)   RA, Dec = (06:03:28.896, 42:08:54.60) = (90.87040, 42.14850)   BPZ = 0.020 [0.010--2.792]   type = 11.00 (SB11_A_0_l)   stellarity = 0.01   chisq2 = 203.90   ODDS = 0.96   z_cluster = 0.228