RXS0603+42-S IR detection object #902

Color images and BPZ results
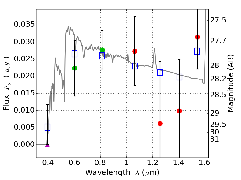
Catalog: 902.cat
Black segments are analyzed here.   Roll mouse over color images to view segments.
Best viewed in a wide browser window (1200 pixels or more).   Download SED & P(z) plots to view larger versions.
In P(z) plots: Yellow lines mark the cluster redshift z = 0.228,  

Object #902   x,y = (2766, 1508)   RA, Dec = (06:03:24.984, 42:08:56.76) = (90.85410, 42.14910)   BPZ = 3.352 [0.169--4.482]   type = 10.40 (SB3_B10 - SB11_A_0_l)   stellarity = 0.03   chisq2 = 0.50   ODDS = 0.18   z_cluster = 0.228