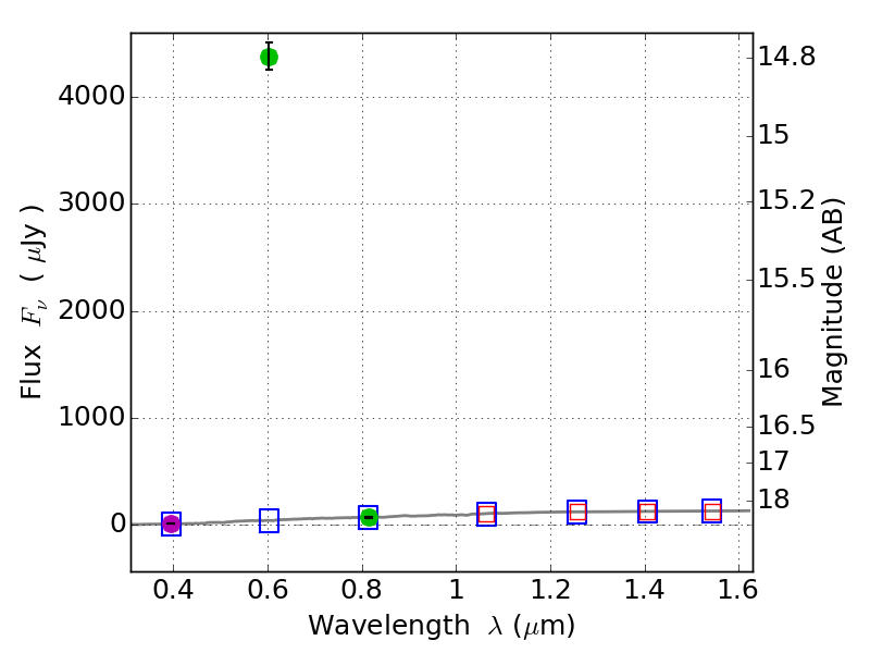
RXS0603+42-S IR detection object #749

Color images and BPZ results
Catalog: 749.cat
Black segments are analyzed here.   Roll mouse over color images to view segments.
Best viewed in a wide browser window (1200 pixels or more).   Download SED & P(z) plots to view larger versions.
In P(z) plots: Yellow lines mark the cluster redshift z = 0.228,  

Object #749   x,y = (1669, 2032)   RA, Dec = (06:03:30.912, 42:09:28.44) = (90.87880, 42.15790)   BPZ = 0.181 [0.108--0.550]   type = 3.30 (Ell5_A_0 - Ell4_A_0)   stellarity = 0.03   chisq2 = 1125.00   ODDS = 0.56   z_cluster = 0.228