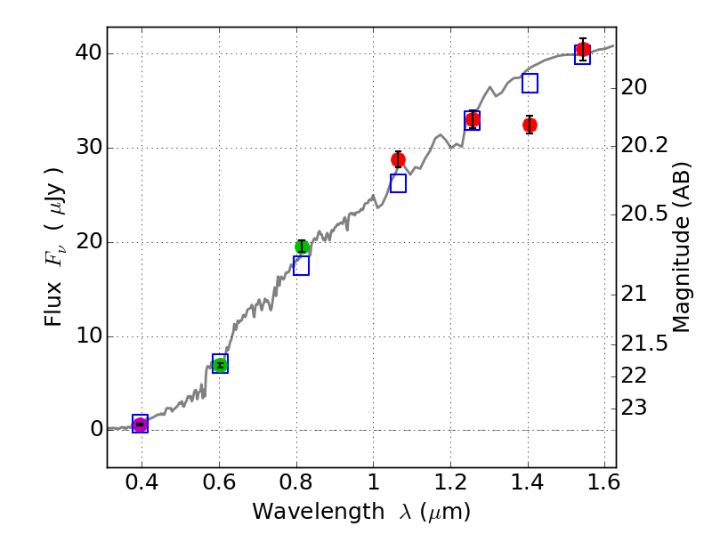
RXS0603+42-S IR detection object #689

Color images and BPZ results
Catalog: 689.cat
Black segments are analyzed here.   Roll mouse over color images to view segments.
Best viewed in a wide browser window (1200 pixels or more).   Download SED & P(z) plots to view larger versions.
In P(z) plots: Yellow lines mark the cluster redshift z = 0.228,  

Object #689   x,y = (2560, 1857)   RA, Dec = (06:03:26.088, 42:09:17.64) = (90.85870, 42.15490)   BPZ = 0.424 [0.376--0.453]   type = 4.00 (Ell4_A_0)   stellarity = 0.98   chisq2 = 0.97   ODDS = 0.98   z_cluster = 0.228