RXS0603+42-S IR detection object #517

Color images and BPZ results
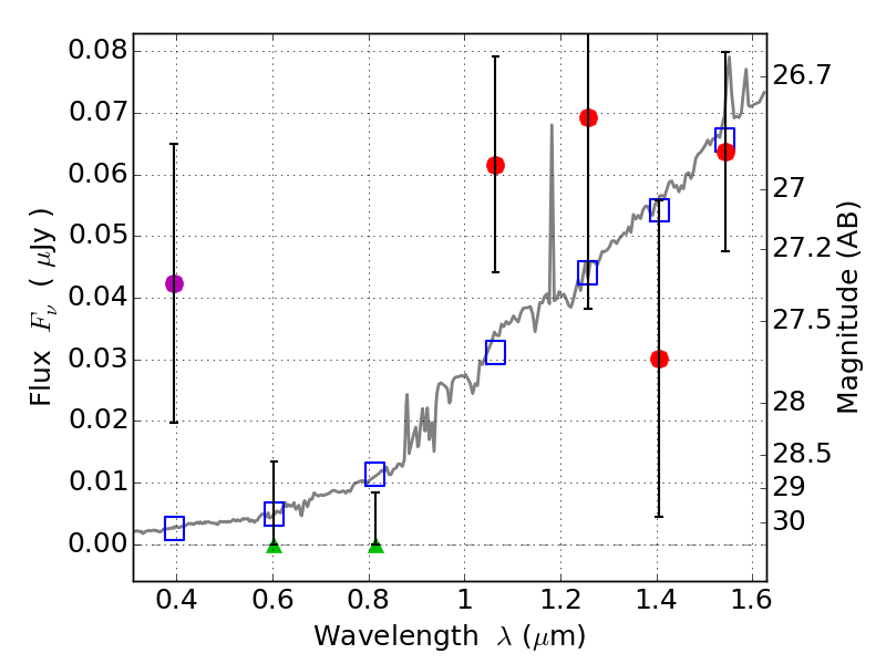
Catalog: 517.cat
Black segments are analyzed here.   Roll mouse over color images to view segments.
Best viewed in a wide browser window (1200 pixels or more).   Download SED & P(z) plots to view larger versions.
In P(z) plots: Yellow lines mark the cluster redshift z = 0.228,  

Object #517   x,y = (3559, 2325)   RA, Dec = (06:03:20.712, 42:09:45.72) = (90.83630, 42.16270)   BPZ = 1.358 [0.665--7.464]   type = 6.30 (Sbc_B10 - Scd_B10)   stellarity = 0.00   chisq2 = 2.24   ODDS = 0.13   z_cluster = 0.228