RXS0603+42-S IR detection object #490

Color images and BPZ results
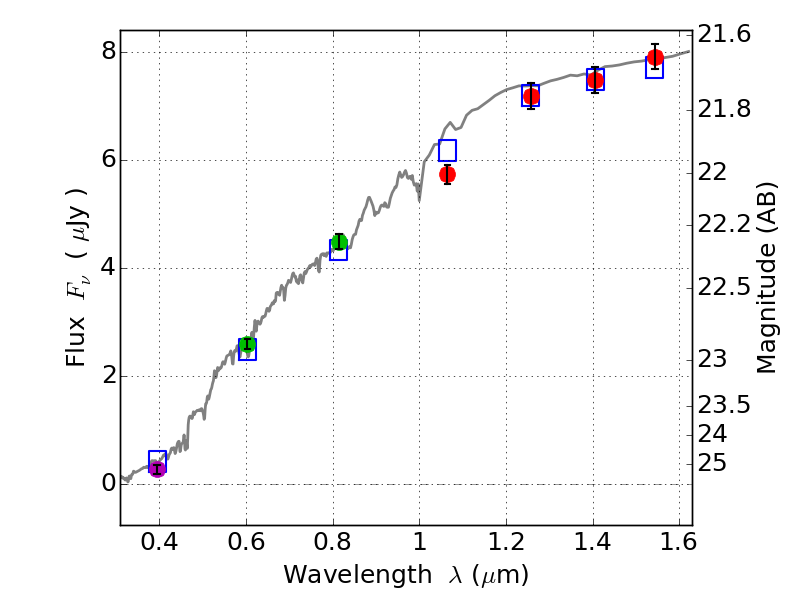
Catalog: 490.cat
Black segments are analyzed here.   Roll mouse over color images to view segments.
Best viewed in a wide browser window (1200 pixels or more).   Download SED & P(z) plots to view larger versions.
In P(z) plots: Yellow lines mark the cluster redshift z = 0.228,  

Object #490   x,y = (2362, 2398)   RA, Dec = (06:03:27.168, 42:09:50.40) = (90.86320, 42.16400)   BPZ = 0.166 [0.096--0.206]   type = 4.00 (Ell4_A_0)   stellarity = 0.03   chisq2 = 0.24   ODDS = 0.89   z_cluster = 0.228