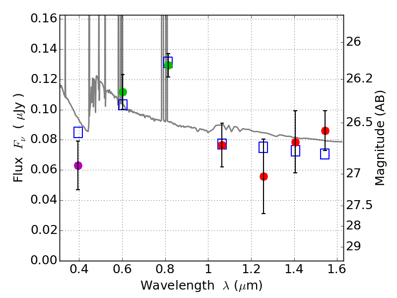
RXS0603+42-S IR detection object #443

Color images and BPZ results
Catalog: 443.cat
Black segments are analyzed here.   Roll mouse over color images to view segments.
Best viewed in a wide browser window (1200 pixels or more).   Download SED & P(z) plots to view larger versions.
In P(z) plots: Yellow lines mark the cluster redshift z = 0.228,  

Object #443   x,y = (1832, 2526)   RA, Dec = (06:03:30.024, 42:09:57.96) = (90.87510, 42.16610)   BPZ = 0.201 [0.105--3.103]   type = 11.00 (SB11_A_0_l)   stellarity = 0.11   chisq2 = 0.85   ODDS = 0.49   z_cluster = 0.228