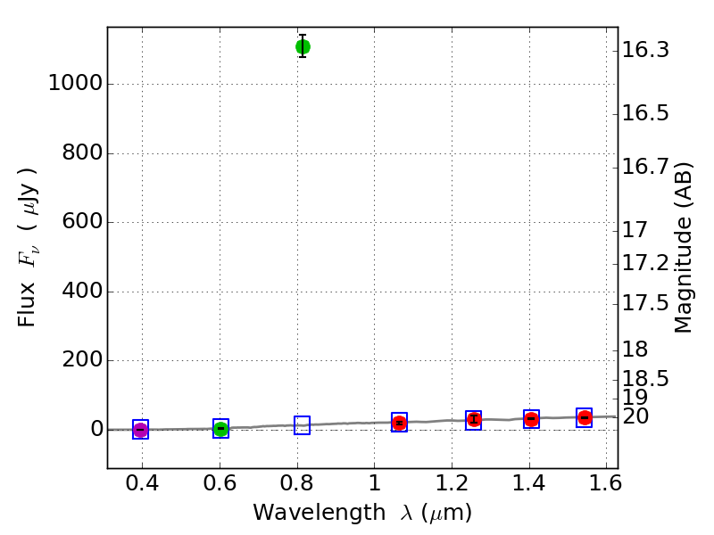
RXS0603+42-S IR detection object #422

Color images and BPZ results
Catalog: 422.cat
Black segments are analyzed here.   Roll mouse over color images to view segments.
Best viewed in a wide browser window (1200 pixels or more).   Download SED & P(z) plots to view larger versions.
In P(z) plots: Yellow lines mark the cluster redshift z = 0.228,  

Object #422   x,y = (3665, 2413)   RA, Dec = (06:03:20.136, 42:09:51.12) = (90.83390, 42.16420)   BPZ = 0.580 [0.487--0.630]   type = 3.40 (Ell5_A_0 - Ell4_A_0)   stellarity = 0.01   chisq2 = 279.10   ODDS = 0.86   z_cluster = 0.228