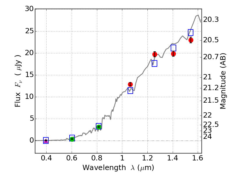
RXS0603+42-S IR detection object #393

Color images and BPZ results
Catalog: 393.cat
Black segments are analyzed here.   Roll mouse over color images to view segments.
Best viewed in a wide browser window (1200 pixels or more).   Download SED & P(z) plots to view larger versions.
In P(z) plots: Yellow lines mark the cluster redshift z = 0.228,  

Object #393   x,y = (3609, 2437)   RA, Dec = (06:03:20.424, 42:09:52.56) = (90.83510, 42.16460)   BPZ = 1.115 [1.088--1.280]   type = 1.10 (Ell7_A_0 - Ell6_A_0)   stellarity = 0.03   chisq2 = 0.92   ODDS = 0.61   z_cluster = 0.228