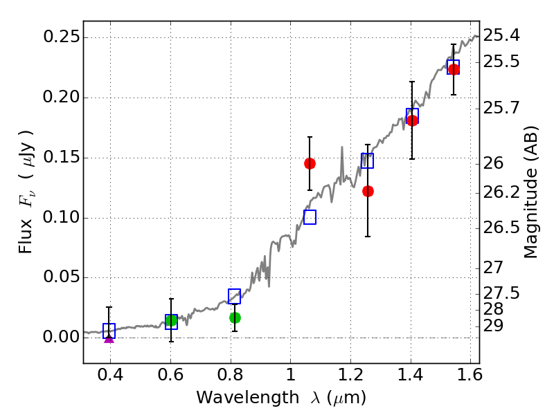
RXS0603+42-S IR detection object #388

Color images and BPZ results
Catalog: 388.cat
Black segments are analyzed here.   Roll mouse over color images to view segments.
Best viewed in a wide browser window (1200 pixels or more).   Download SED & P(z) plots to view larger versions.
In P(z) plots: Yellow lines mark the cluster redshift z = 0.228,  

Object #388   x,y = (2052, 2658)   RA, Dec = (06:03:28.848, 42:10:05.88) = (90.87020, 42.16830)   BPZ = 1.342 [1.055--7.259]   type = 6.00 (Sbc_B10)   stellarity = 0.00   chisq2 = 1.04   ODDS = 0.18   z_cluster = 0.228