RXS0603+42-S IR detection object #387

Color images and BPZ results
Catalog: 387.cat
Black segments are analyzed here.   Roll mouse over color images to view segments.
Best viewed in a wide browser window (1200 pixels or more).   Download SED & P(z) plots to view larger versions.
In P(z) plots: Yellow lines mark the cluster redshift z = 0.228,  

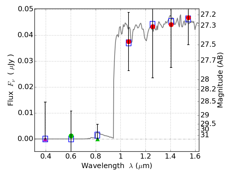
Object #387   x,y = (2035, 2639)   RA, Dec = (06:03:28.920, 42:10:04.80) = (90.87050, 42.16800)   BPZ = 6.768 [1.157--7.908]   type = 9.40 (SB2_B10 - SB3_B10)   stellarity = 0.00   chisq2 = 0.02   ODDS = 0.39   z_cluster = 0.228