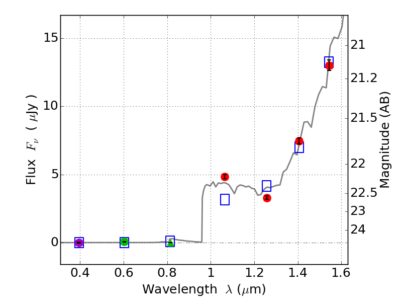
RXS0603+42-S IR detection object #377

Color images and BPZ results
Catalog: 377.cat
Black segments are analyzed here.   Roll mouse over color images to view segments.
Best viewed in a wide browser window (1200 pixels or more).   Download SED & P(z) plots to view larger versions.
In P(z) plots: Yellow lines mark the cluster redshift z = 0.228,  

Object #377   x,y = (3648, 2401)   RA, Dec = (06:03:20.232, 42:09:50.40) = (90.83430, 42.16400)   BPZ = 6.894 [6.835--6.973]   type = 1.70 (Ell6_A_0 - Ell7_A_0)   stellarity = 0.12   chisq2 = 1.19   ODDS = 1.00   z_cluster = 0.228