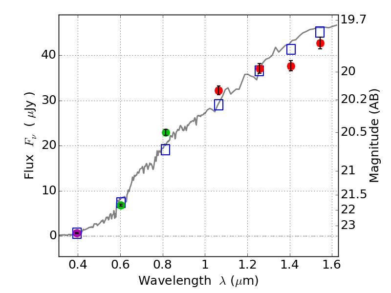
RXS0603+42-S IR detection object #276

Color images and BPZ results
Catalog: 276.cat
Black segments are analyzed here.   Roll mouse over color images to view segments.
Best viewed in a wide browser window (1200 pixels or more).   Download SED & P(z) plots to view larger versions.
In P(z) plots: Yellow lines mark the cluster redshift z = 0.228,  

Object #276   x,y = (2234, 2875)   RA, Dec = (06:03:27.864, 42:10:18.84) = (90.86610, 42.17190)   BPZ = 0.456 [0.419--0.490]   type = 4.00 (Ell4_A_0)   stellarity = 0.86   chisq2 = 1.11   ODDS = 0.99   z_cluster = 0.228