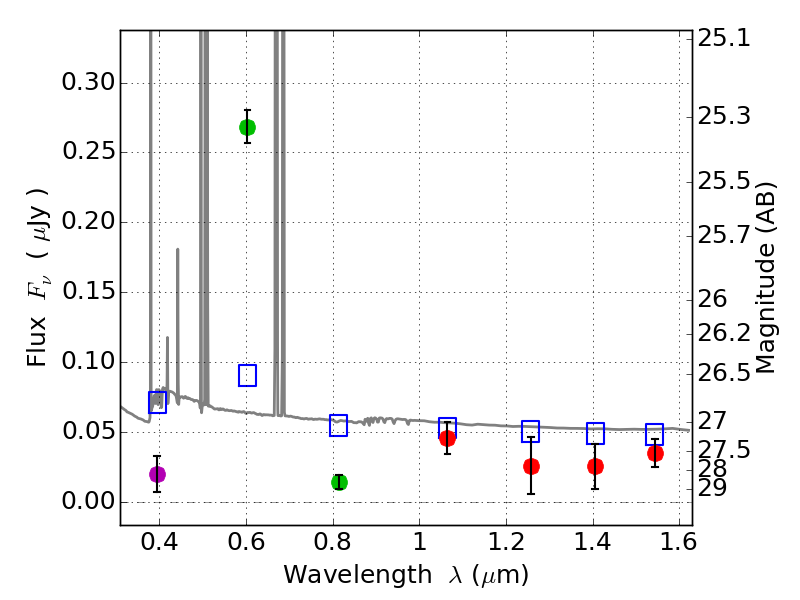
RXS0603+42-S IR detection object #134

Color images and BPZ results
Catalog: 134.cat
Black segments are analyzed here.   Roll mouse over color images to view segments.
Best viewed in a wide browser window (1200 pixels or more).   Download SED & P(z) plots to view larger versions.
In P(z) plots: Yellow lines mark the cluster redshift z = 0.228,  

Object #134   x,y = (2915, 3269)   RA, Dec = (06:03:24.168, 42:10:42.60) = (90.85070, 42.17850)   BPZ = 0.018 [0.010--0.040]   type = 11.00 (SB11_A_0_l)   stellarity = 0.02   chisq2 = 55.62   ODDS = 1.00   z_cluster = 0.228