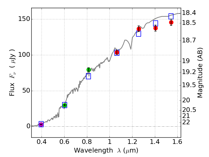
RXS0603+42-S IR detection object #127

Color images and BPZ results
Catalog: 127.cat
Black segments are analyzed here.   Roll mouse over color images to view segments.
Best viewed in a wide browser window (1200 pixels or more).   Download SED & P(z) plots to view larger versions.
In P(z) plots: Yellow lines mark the cluster redshift z = 0.228,  

Object #127   x,y = (1928, 3159)   RA, Dec = (06:03:29.496, 42:10:35.76) = (90.87290, 42.17660)   BPZ = 0.387 [0.315--0.413]   type = 4.00 (Ell4_A_0)   stellarity = 0.88   chisq2 = 0.52   ODDS = 0.95   z_cluster = 0.228