RXS0603+42-S IR detection object #111

Color images and BPZ results
Catalog: 111.cat
Black segments are analyzed here.   Roll mouse over color images to view segments.
Best viewed in a wide browser window (1200 pixels or more).   Download SED & P(z) plots to view larger versions.
In P(z) plots: Yellow lines mark the cluster redshift z = 0.228,  

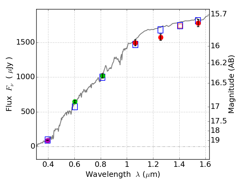
Object #111   x,y = (3365, 3263)   RA, Dec = (06:03:21.744, 42:10:42.24) = (90.84060, 42.17840)   BPZ = 0.109 [0.088--0.187]   type = 2.20 (Ell6_A_0 - Ell5_A_0)   stellarity = 0.99   chisq2 = 0.38   ODDS = 0.66   z_cluster = 0.228