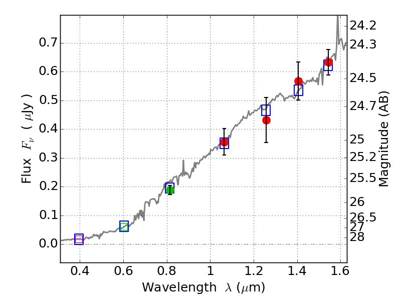
RXS0603+42-S IR detection object #1015

Color images and BPZ results
Catalog: 1015.cat
Black segments are analyzed here.   Roll mouse over color images to view segments.
Best viewed in a wide browser window (1200 pixels or more).   Download SED & P(z) plots to view larger versions.
In P(z) plots: Yellow lines mark the cluster redshift z = 0.228,  

Object #1015   x,y = (1982, 1185)   RA, Dec = (06:03:29.208, 42:08:37.32) = (90.87170, 42.14370)   BPZ = 0.750 [0.541--2.098]   type = 6.00 (Sbc_B10)   stellarity = 0.00   chisq2 = 0.20   ODDS = 0.17   z_cluster = 0.228