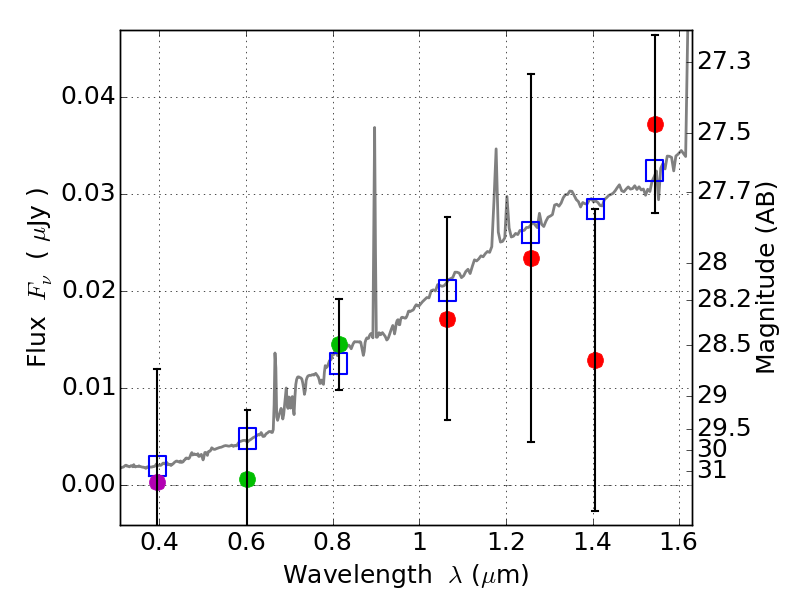
RXS0603+42-S IR detection object #101

Color images and BPZ results
Catalog: 101.cat
Black segments are analyzed here.   Roll mouse over color images to view segments.
Best viewed in a wide browser window (1200 pixels or more).   Download SED & P(z) plots to view larger versions.
In P(z) plots: Yellow lines mark the cluster redshift z = 0.228,  

Object #101   x,y = (3253, 3367)   RA, Dec = (06:03:22.344, 42:10:48.36) = (90.84310, 42.18010)   BPZ = 0.791 [0.357--5.591]   type = 6.70 (Scd_B10 - Sbc_B10)   stellarity = 0.02   chisq2 = 0.45   ODDS = 0.08   z_cluster = 0.228