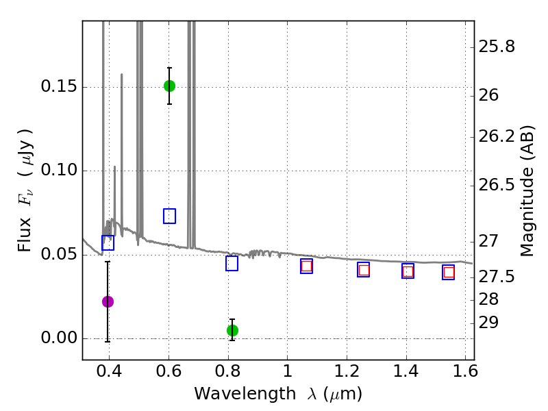
RXS0603+42-S IR detection object #976

Color images and BPZ results
Catalog: 976.cat
Black segments are analyzed here.   Roll mouse over color images to view segments.
Best viewed in a wide browser window (1200 pixels or more).   Download SED & P(z) plots to view larger versions.
In P(z) plots: Yellow lines mark the cluster redshift z = 0.228,  

Object #976   x,y = (3184, 3901)   RA, Dec = (06:03:22.728, 42:11:20.40) = (90.84470, 42.18900)   BPZ = 0.021 [0.010--0.047]   type = 11.00 (SB11_A_0_l)   stellarity = 0.53   chisq2 = 69.44   ODDS = 0.99   z_cluster = 0.228