RXS0603+42-S IR detection object #953

Color images and BPZ results
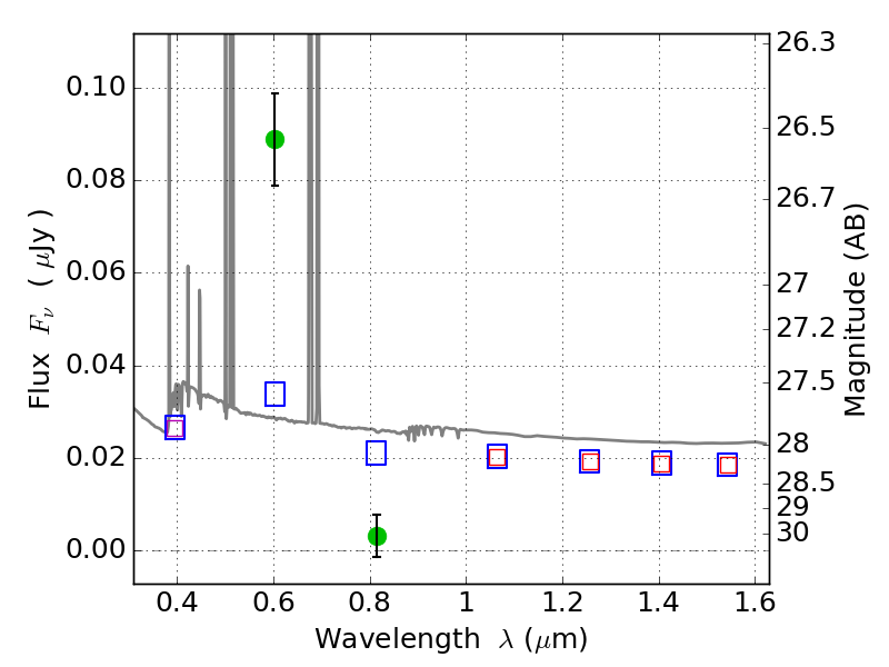
Catalog: 953.cat
Black segments are analyzed here.   Roll mouse over color images to view segments.
Best viewed in a wide browser window (1200 pixels or more).   Download SED & P(z) plots to view larger versions.
In P(z) plots: Yellow lines mark the cluster redshift z = 0.228,  

Object #953   x,y = (3198, 3938)   RA, Dec = (06:03:22.656, 42:11:22.56) = (90.84440, 42.18960)   BPZ = 0.026 [0.026--3.212]   type = 11.00 (SB11_A_0_l)   stellarity = 0.65   chisq2 = 41.18   ODDS = 0.06   z_cluster = 0.228