RXS0603+42-S IR detection object #914

Color images and BPZ results
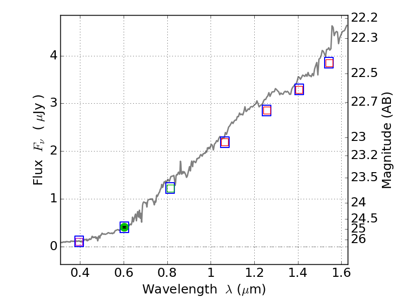
Catalog: 914.cat
Black segments are analyzed here.   Roll mouse over color images to view segments.
Best viewed in a wide browser window (1200 pixels or more).   Download SED & P(z) plots to view larger versions.
In P(z) plots: Yellow lines mark the cluster redshift z = 0.228,  

Object #914   x,y = (3476, 3952)   RA, Dec = (06:03:21.144, 42:11:23.28) = (90.83810, 42.18980)   BPZ = 0.716 [0.178--4.203]   type = 6.00 (Sbc_B10)   stellarity = 0.97   chisq2 = 990.00   ODDS = 0.09   z_cluster = 0.228