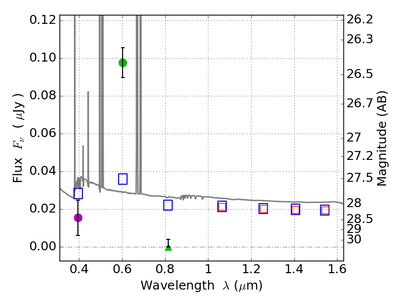
RXS0603+42-S IR detection object #782

Color images and BPZ results
Catalog: 782.cat
Black segments are analyzed here.   Roll mouse over color images to view segments.
Best viewed in a wide browser window (1200 pixels or more).   Download SED & P(z) plots to view larger versions.
In P(z) plots: Yellow lines mark the cluster redshift z = 0.228,  

Object #782   x,y = (2261, 4011)   RA, Dec = (06:03:27.696, 42:11:26.88) = (90.86540, 42.19080)   BPZ = 0.023 [0.010--2.660]   type = 11.00 (SB11_A_0_l)   stellarity = 0.67   chisq2 = 80.32   ODDS = 0.89   z_cluster = 0.228