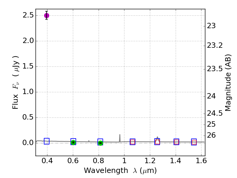
RXS0603+42-S IR detection object #737

Color images and BPZ results
Catalog: 737.cat
Black segments are analyzed here.   Roll mouse over color images to view segments.
Best viewed in a wide browser window (1200 pixels or more).   Download SED & P(z) plots to view larger versions.
In P(z) plots: Yellow lines mark the cluster redshift z = 0.228,  

Object #737   x,y = (2758, 4030)   RA, Dec = (06:03:25.032, 42:11:28.32) = (90.85430, 42.19120)   BPZ = 1.595 [1.036--2.346]   type = 11.00 (SB11_A_0_l)   stellarity = 0.99   chisq2 = 969.80   ODDS = 0.27   z_cluster = 0.228