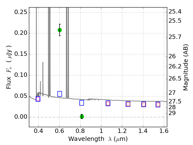
RXS0603+42-S IR detection object #7161

Color images and BPZ results
Catalog: 7161.cat
Black segments are analyzed here.   Roll mouse over color images to view segments.
Best viewed in a wide browser window (1200 pixels or more).   Download SED & P(z) plots to view larger versions.
In P(z) plots: Yellow lines mark the cluster redshift z = 0.228,  

Object #7161   x,y = (3464, 1022)   RA, Dec = (06:03:21.216, 42:08:27.60) = (90.83840, 42.14100)   BPZ = 0.021 [0.010--2.213]   type = 11.00 (SB11_A_0_l)   stellarity = 0.97   chisq2 = 139.80   ODDS = 0.91   z_cluster = 0.228