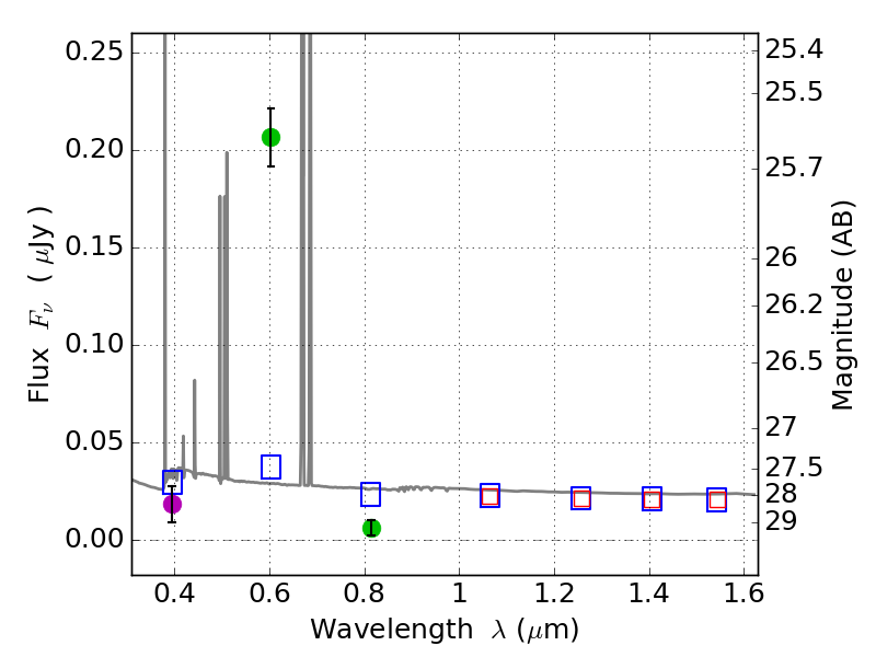
RXS0603+42-S IR detection object #7083

Color images and BPZ results
Catalog: 7083.cat
Black segments are analyzed here.   Roll mouse over color images to view segments.
Best viewed in a wide browser window (1200 pixels or more).   Download SED & P(z) plots to view larger versions.
In P(z) plots: Yellow lines mark the cluster redshift z = 0.228,  

Object #7083   x,y = (3259, 1070)   RA, Dec = (06:03:22.320, 42:08:30.48) = (90.84300, 42.14180)   BPZ = 0.024 [0.012--2.978]   type = 11.00 (SB11_A_0_l)   stellarity = 0.44   chisq2 = 140.20   ODDS = 0.37   z_cluster = 0.228