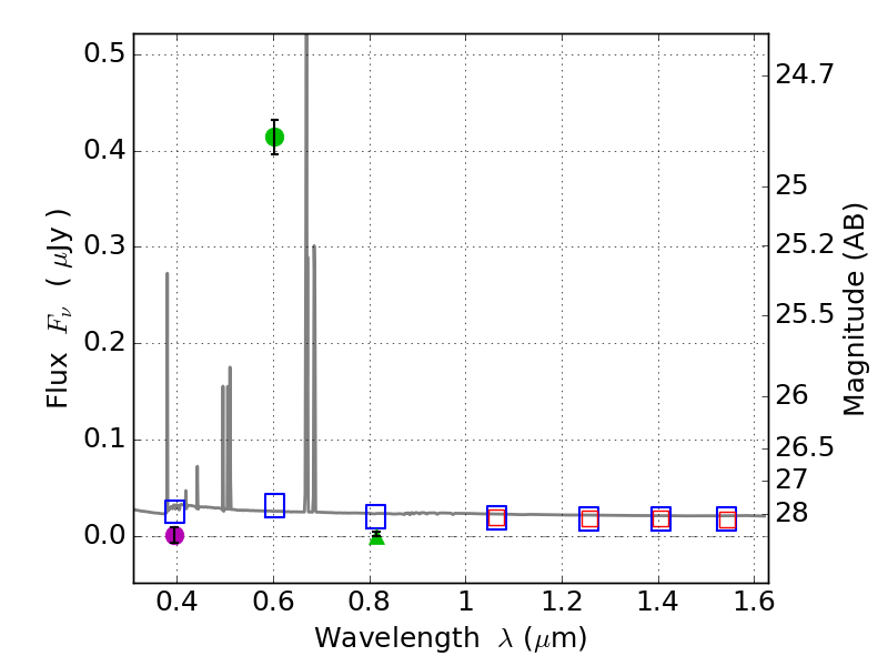
RXS0603+42-S IR detection object #7076

Color images and BPZ results
Catalog: 7076.cat
Black segments are analyzed here.   Roll mouse over color images to view segments.
Best viewed in a wide browser window (1200 pixels or more).   Download SED & P(z) plots to view larger versions.
In P(z) plots: Yellow lines mark the cluster redshift z = 0.228,  

Object #7076   x,y = (3234, 1074)   RA, Dec = (06:03:22.464, 42:08:30.84) = (90.84360, 42.14190)   BPZ = 0.024 [0.010--3.014]   type = 11.00 (SB11_A_0_l)   stellarity = 0.67   chisq2 = 468.50   ODDS = 0.81   z_cluster = 0.228