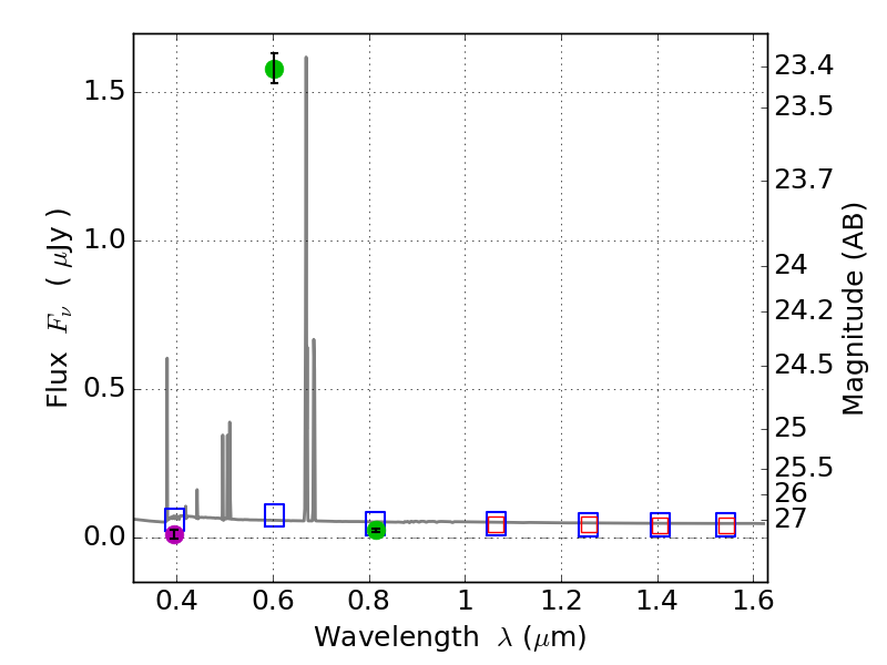
RXS0603+42-S IR detection object #7038

Color images and BPZ results
Catalog: 7038.cat
Black segments are analyzed here.   Roll mouse over color images to view segments.
Best viewed in a wide browser window (1200 pixels or more).   Download SED & P(z) plots to view larger versions.
In P(z) plots: Yellow lines mark the cluster redshift z = 0.228,  

Object #7038   x,y = (3217, 1095)   RA, Dec = (06:03:22.560, 42:08:31.92) = (90.84400, 42.14220)   BPZ = 0.024 [0.011--3.195]   type = 11.00 (SB11_A_0_l)   stellarity = 0.64   chisq2 = 895.70   ODDS = 0.69   z_cluster = 0.228